正态总体样本的常用统计量及其分布
【主要内容】
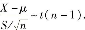
1.一个正态总体情形
设总体X~N(μ,σ2)(此时简称X是正态总体),X1,X2,…,Xn是来自X的一个简单随机样本,其均值为
,方差为S2,则有关统计量及其分布如下:
(1)
,即
,并且
与S2相互独立.
(2)
(3)
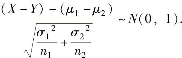
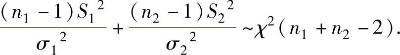
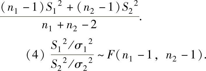
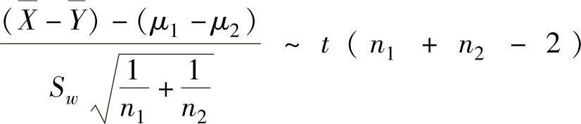
2.两个正态总体情形
设总体X~N(μ1,σ12),Y~N(μ2,σ22),它们相互独立.X1,X2,…,Xn1和Y1,Y2,…,Yn2分别是来自总体X和Y的简单随机样本,它们的均值分别为X
和
,方差分别为S12和S22,则有关统计量及其分布如下:
(1)
(2)
(3)当σ1=σ2时,
,其中Sw2=
【典型例题】
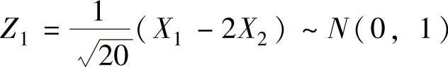
例8.2.1 (单项选择题)设X1,X2,…,X9是来自总体X~N(μ,σ2)的简单随机样本.记
,则随机变量
,
分别服从( ).A.χ2(9),t(2)B.χ2(7),t(3)C.χ2(7),t(2)D.χ2(9),t(3)
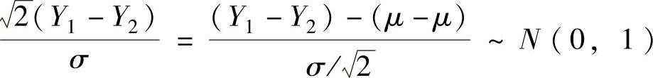
精解 先考虑Z1.
由于随机变量
,且它们相互独立,所以由χ2分布的性质得
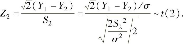
下面考虑Z2.(https://www.daowen.com)
由随机变量
,且它们相互独立知
,
所以
.由上已知
此外,
与
相互独立(这是由于Y1与S22相互独立,Y2与S22相互独立,所以
与
相互独立),所以由t分布的定义得

因此本题选C.
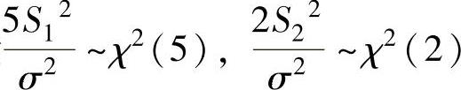
例8.2.2 设X1,X2,X3,X4是来自正态总体X~N(0,22)的简单随机样本.记Z=a(X1-2X2)2+b(3X3-4X4)2,求参数a,b(a>0,b>0)的值,使得Z服从χ2分布,并求这个χ2分布的自由度.
精解 记
,
要使Z服从χ2分布,必须使Z1,
Z2~N(0,1),从而a,b应满足
即
由此得到a(4+4×4)=1,即
;b(9×4+16×4)=1,即
此时,Z=Z12+Z22,其中
,
N(0,1),且Z1与Z2相互独立,所以Z服从自由度为2的χ2分布.
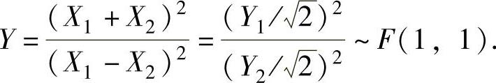
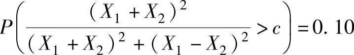
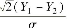
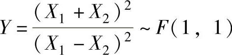
例8.2.3 设X1,X2是来自总体X~N(0,1)的一个简单随机样本.
(1)证明:随机变量
,并求概率P(Y≤39.86);
(2)已知概率
,求常数c.
精解 (1)记Y1=X1+X2,Y2=X1-X2,则Y1,Y2都服从N(0,2),所以
和
都服从χ2(1).
此外,由Cov(Y1,Y2)=Cov(X1+X2,X1-X2)=Cov(X1,X1)-Cov(X2,X2)=DX1-DX2=1-1=0
知Y1与Y2相互独立,即
与
相互独立.于是由F分布的定义得证

查表
由此可得P(Y≤39.86)=1-P(Y>39.86)1-0.10=0.90.
(2)由于

所以由题设得
,查F(1,1)分布表得
,所以c=0.97.
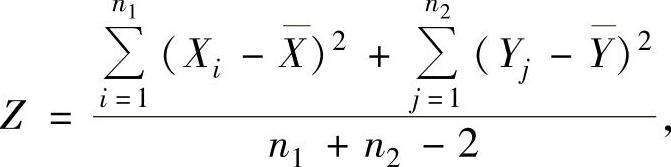
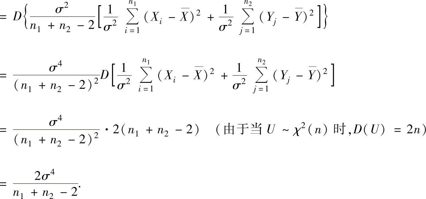
例8.2.4 设总体X~N(μ1,σ2),Y~N(μ2,σ2),它们相互独立.又设X1,X2,…,Xn1和Y1,Y2,…,Yn2分别是来自X和Y的简单随机样本,记

求EZ和DZ.
精解 由两个正态情形的样本统计量的分布知
,
所以
