练习题四解答
一、单项选择题
(1)B (2)D (3)D (4)A (5)D (6)B
(7)D (8)B (9)B (10)C (11)C
(12)A (13)C (14)B (15)C (16)B
(17)D (18)C (19)A (20)A (21)C
二、解答题
(1)通解为
(2)令
,则所给微分方程成为

它的通解为
所以原微分方程的通解为
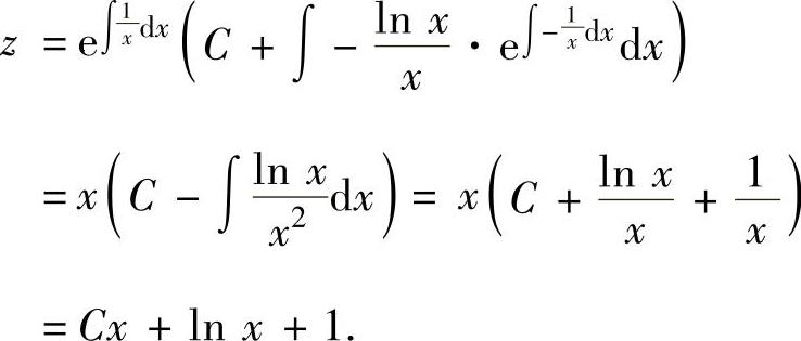
(3)将所给微分方程改写成

令
,则有
,即
所以,
因此原微分方程的通解为

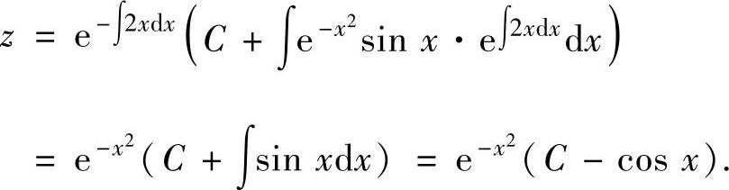
(4)令z=y2,则所给微分方程成为

它的通解为
所以原微分方程的通解为

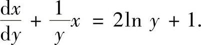
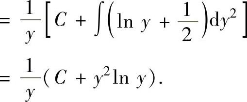
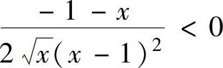
(5)将微分方程改写成
,即
它的通解为

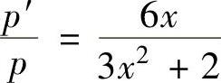
(6)令p=y′,则所给微分方程成为
,
所以p=C1(3x2+2),即
.因此y=C1x3+2C1x+C2.
要使x→0时y与ex-1是等价无穷小,必须满足
,C2=0.所以所求的解为
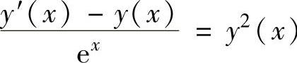
(7)将所给微分方程改写成

上式两边对x求导得
,即y′-y=exy2.
记
,则上述微分方程成为u′+u=-ex,它的通解为

由
得
所以
,从而

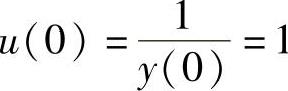
(8)所给等式可化简为

两边对x求导得y′=y2,所以
将y(0)=1代入得C=1.所以所求的
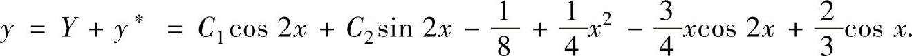
(9)所给微分方程对应的齐次线性微分方程的特征方程是r2+4=0其根为-2i,2i,所以其通解为Y=C1cos2x+C2sin2x.根据微分方程右边的函数知,所给微分方程应有特解
y∗=(a0+a1x+a2x2)+x(b1cos2x+b2sin2x)+(c1cosx+c2sinx).
将它代入所给微分方程得
,
,
,
,c2=0.
所以,
因此通解为

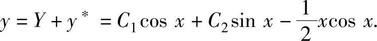
(10)所给微分方程对应的齐次线性微分方程的特征方程是r2+a2=0,其特征根为ia,-ia,所以,它的通解为Y=C1cosax+C2sinax.
当a≠1时,原微分方程有特解y∗=Acosx+Bsinx.将它代入原微分方程得(https://www.daowen.com)

所以
从而原微分方程的通解为
当a=1时,原微分方程有特解y∗=x(A1cosx+B1sinx),将它代入原微分方程得

所以
从而原微分方程的通解为
(11)由于原式

所以
(12)

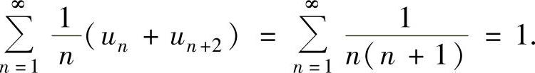
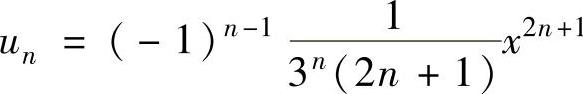
(13)所给级数都为正项级数.
记
,则lim
所
以
发散.记
,则
,且
收敛,所以
收敛.
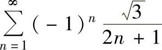
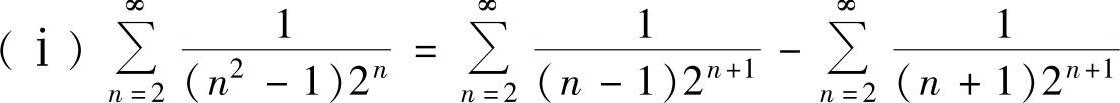
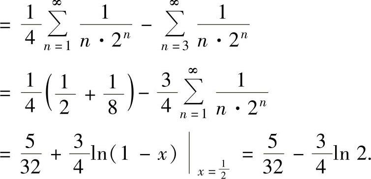
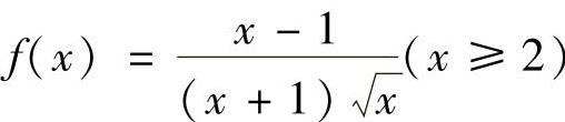
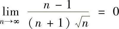
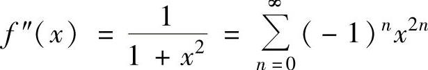
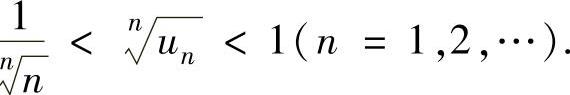
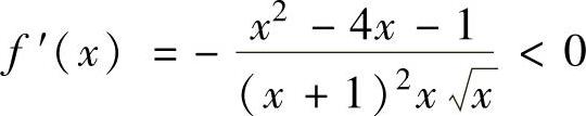
(14)(ⅰ)由于
,
其中
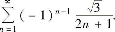
发散.对于交错级数
n
,记f
,则由
知数列
单调减少,且
所以由莱布尼茨定理知
收敛.从而
发散.
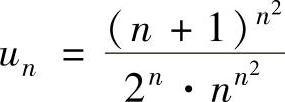
(ⅱ)记
,则由
(当x充分大时)
可认为数列
单调减少,且
,所以由莱布尼茨定理知
收敛.此外
发散.所以
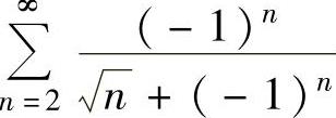
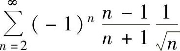
条件收敛.
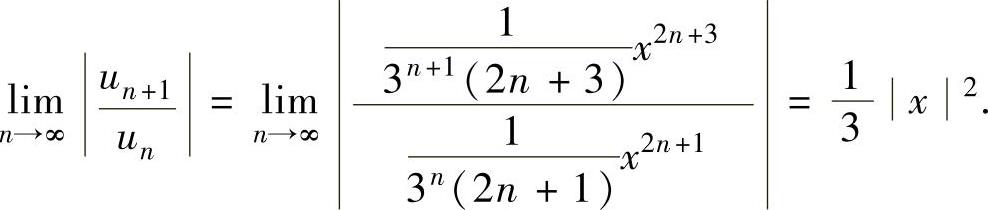
(15)记
,则
,即
从而
,即收敛半径R=1.
当x=1时,所给幂级数成为
,它是发散的.
当x=-1时,所给幂级数成为
(交错级数),由于{un}单调减少且收敛于零,
所以该级数收敛.
从而所给幂级数的收敛域为[-1,1).
(16)记
,则

所以收敛区间为
当
时,所给的幂级数分别成为级数

和

由莱布尼茨定理知它们都是收敛的,因此所给幂级数的收敛域为
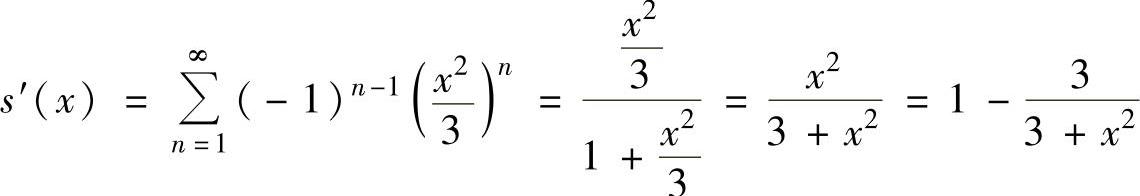
记和函数为s(x),即
在
内,
,所以
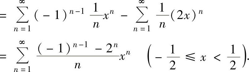
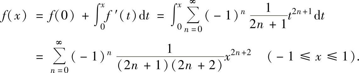
(17)

(ⅱ)
其中,
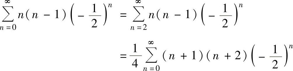
为了计算

考虑
,
所以
将它们代入式(1)得
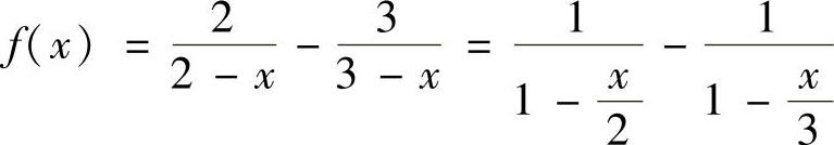
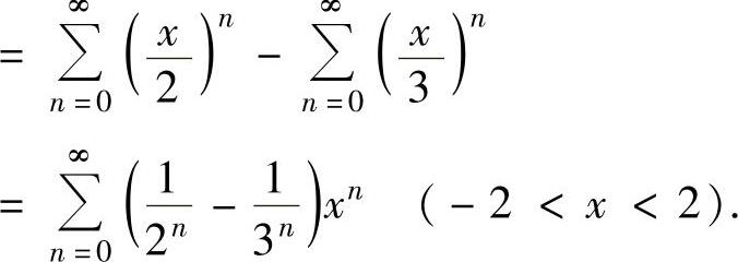
(18)

(ⅱ)

(19)由于 f(0)=0,f′(x)=arctanx,f′(0)=0,
,
所以
