练习题三解答
1.单项选择题
(1)A (2)C (3)D (4)B (5)C
(6)C (7)D (8)C (9)D (10)D
(11)A (12)A (13)C (14)B
2.解答题
(1)φ′(x)=f1′·2x+f2′(f1′·2x+f2′),φ′(1)=2×2+3(2×2+3)=25.
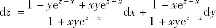
(2)对所给方程两边求全微分
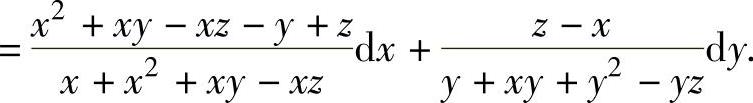
dz-dx-dy+yez-xdx+xez-xdy+xyez-x(dz-dx)=0,即(1+xyez-x)dz=(1-yez-x+xyez-x)dx+(1-xez-x)dy,
所以,

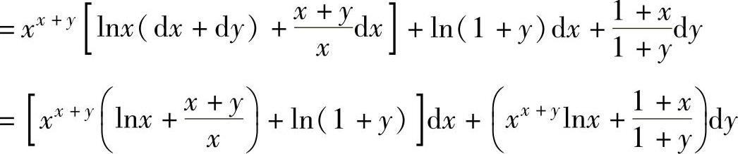
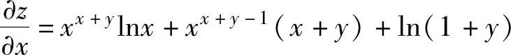
(3)由dz=d[e(x+y)lnx+(x+1)ln(1+y)]

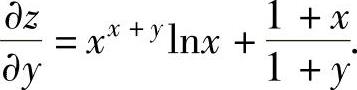
所以
,

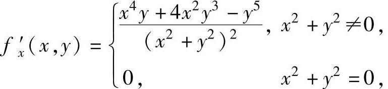
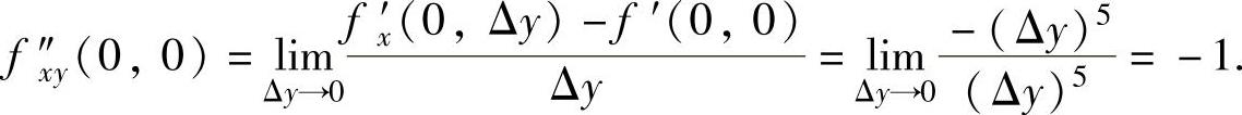
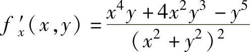
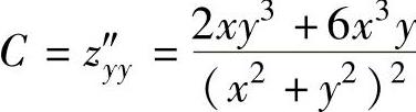
(4)当x2+y2≠0时,
,并且
,
所以

(5)由
知其方向余弦
,
,
因此

(6)
其中,u=x,v=x,所以y

(7)记u=xg(y),v=y,则
,所以所给关系式成为
,
从而
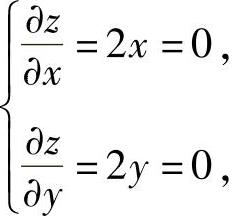
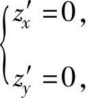
(8)z的定义域为除去点(0,0)的xOy平面,由
即
得x=0,
y=0,x=y,x=-y.由此得z的可能极值点为
(0,1),(0,-1),(1,0),(-1,0),
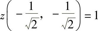
,
,
,
显然z(0,1)=z(0,-1)=z(1,0)=z(-1,0)=0都不是极值.
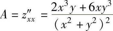
记
,
,
,则由
知
是极小值,同样
也是极小值.
由
知
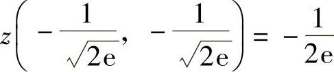
是极大
值,同样
也是极大值.
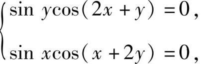
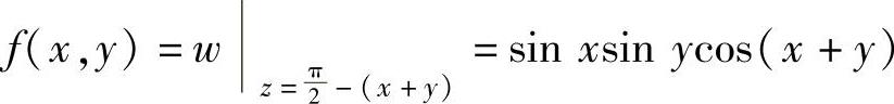
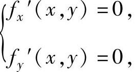
(9)记
,(x,y)∈D={(x,y)x>0,y>0,
,由于
即
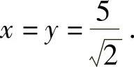
所以f(x,y)在D内只有唯一的可能极值点
记(https://www.daowen.com)
A=f″xx(x,y)=-2sinysin(2x+y),B=f″xy(x,y)=cos(2x+2y),
C=fy″y(x,y)=-2sinxsin(x+2y),
则由
,
知,
是f(x,y)在D内的最
大值.由于f(x,y)>0((x,y)∈D),但limf(x,y)=0,所以f(x,y)在D内无最小值.
(x,y)→(0,0)
由上可知,w(x>0,y>0,z>0)在约束条件
下的最大值为
,无最小值.
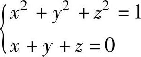
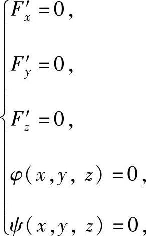
(10)记φ(x,y,z)=x2+y2+z2-1,ψ(x,y,z)=x+y+z及
F(x,y,z)=xyz+λφ(x,y,z)+μψ(x,y,z).显然F处处可微,且
Fx′ =yz+2λx+μ,
Fy′ =xz+2λy+μ,
Fz′ =xy+2λz+μ.
于是由拉格朗日乘数法得
即
解此方程组的(1)、(2)、(3)、(5)得
,或
,
,所以由式
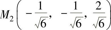
(4)得xyz在约束条件φ=0和ψ=0下的可能极值点为
,
,
,
,
,
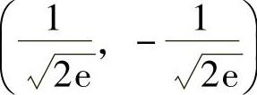
由于w是连续函数,它可在曲线
,上取得最大值与最小值,而且只能在点
M1,M2,M3,M4,M5,M6上取到.由于

所以,w在约束条件φ=0和ψ=0下的最大值为
,最小值为
(11)由
得x=y=0,即z在D内有唯一可能极值点(0,0).
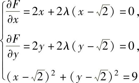
为了考虑z=x2+y2在D的边界(x-2)2+(y-2)2=9上的最值,记F(x,y)=x2+y2+
,
由
得
与
由于z(0,0)=0,
,
,所以z在D上的最大值为25,最
小值为0.
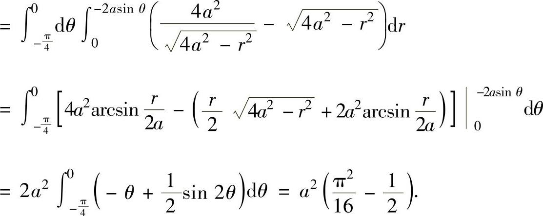
(12)
(13)由于
,所以

(14)
,

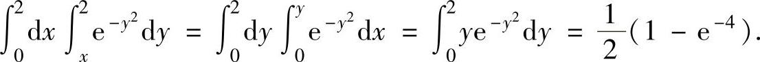
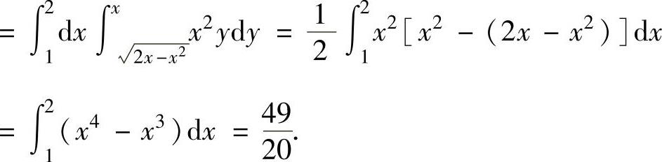
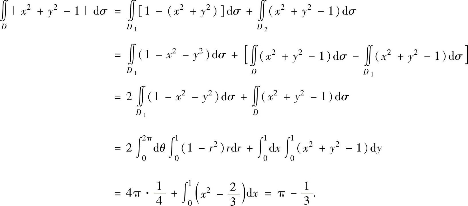
(15)记D1={(x,y)|x2+y2≤1},D2=D-D1,则

(16)
