消费者如何理性地选择保额?

二、消费者如何理性地选择保额?

上面讨论了个体是否足额投保的决策,这里讨论的是,如果保险公司允许客户选择投保金额(现实中,家庭财产保险、企业财产保险、短期医疗保险、短期重大疾病保险等均允许消费者自由选择保额,或者提供若干档次的保额供消费者选择),而且在保证“投保的期望效用大于不投保的期望效用”的条件下,理性的消费者如何选择保额。

显然,保证“投保的期望效用大于不投保的期望效用”的条件一定是附加保费不能太高。或者说,这里讨论的是,在附加保费不高进而风险厌恶的消费者愿意投保的情况下,消费者会如何选择保额或愿意买多少保险。

我们仍然沿用前述案例来说明。假设张三的效用函数为U(W),目前拥有的总财富为W0。张三有一处房产,该房产面临火灾风险,房产重建造价为L。火灾发生概率为p,一旦发生火灾,张三将遭受房产全损,损失为L。

假定保险公司允许消费者选择保额A。下面分析:①如果保险公司仅收取纯保费pA,张三选择的保额A是多少?②如果保险公司同时收取纯保费和附加保费,且附加费率(附加保费/纯保费)为α,即,消费者需要支付的总保费为(1+α)pA,张三选择的保额A是多少?

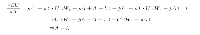
1.仅收取纯保费时张三的选择

EU(投保)=p•U(W0-pA+A-L)+(1-p)•U(W0-pA)

根据最优条件对上式求一阶导数,令其为零,可得,

即,当保险公司仅收取纯保费时,风险厌恶的张三会购买足额保险。

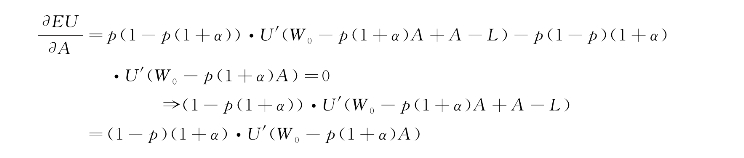
2.同时收取比例附加保费时张三的选择

EU(投保)=p•U(W0-p(1+α)A+A-L)+(1-p)•U(W0-p(1+α)A)

根据最优条件对上式求一阶导数,令其为零,可得,

由于α>0,导致(1-p(1+α))<(1-p)(1+α),因此,

U′(W0-p(1+α)A+A-L)>U′(W0-p(1+α)A)

由于效用函数是凹函数,因此,

即,如果保险公司收取比例附加保费,风险厌恶的张三会选择部分保险。

此外,根据经济学中的需求定律,随着附加保费的增加,风险厌恶的张三愿意购买的保险数量或保险金额会降低;极端情况下,如果附加保费过高,风险厌恶的张三就不会购买任何保险了。