互联网平台如何通过提升客户感知风险来提升销量
2025年09月26日
一、互联网平台如何通过提升客户感知风险来提升销量
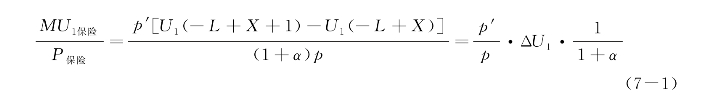
1.提升感知风险进而提升保险需求的行为保险学原理
依据行为投保决策模型中的式(7-1),提升感知风险,体现为提高了p′,自然会提升潜在保险客户的保险边际效用,进而可能使其保险边际效用大于其他商品边际效用(即边际收益大于边际成本),满足式(7-3),使其做出购买保险的决策。
2.大额医疗费用筹款大幅提升了潜在客户的“短时”感知风险
如前所述,采用“大额医疗费用众筹+网络互助+网上保险商城”模式的互联网平台,能够利用众筹这一传播路径,通过发布情绪感染性极强的筹款宣传资料,不但使更多的人看到了筹款信息,提升了筹款效率和规模,同时使阅读者,尤其是捐款者大幅提升了感知风险水平。但是,如前所述,捐款者处于高位感知风险的时间很短。
3.通过“内容营销”提升潜在客户的感知风险
各类互联网平台不断向用户推送内容,这些内容都是经过精心设计的,试图提升客户需求和促进客户下单。其中,占比很大的内容就是通过提醒客户存在各种风险,并介绍各种风险案例,以便提升读者的感知风险。
例如,随便打开某互联网保险平台,可以看到诸如“多少人没有熬过45—55岁这段危险期?为了家人赶快看!”、“上厕所有这个毛病,你可能已成为肠癌人群?”、“看似不痛不痒的症状,没想到发现就是癌症晚期”、“6岁女童患癌自拔氧气管离世,背后原因令人唏嘘”等。