收入的边际效用和收入效用函数
2025年09月26日
二、收入的边际效用和收入效用函数
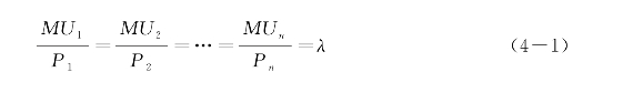
如第二章第一节所述,在收入约束下,消费者会通过理性选择购买商品来实现效用最大化,其选择结果(或消费均衡)可以描述为:
其中,
MUi(i=1,2,…,n)表示任一种商品的边际效用;
Pi(i=1,2,…,n)表示任一种商品的价格;
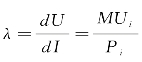
λ表示收入的边际效用,。
在经济学中,不管消费者的效用函数是什么形式,收入的边际效用λ,都表示收入增加1元钱带来的额外效用,或多花1元钱收入所获的额外效用,或预算再增加1元钱所产生的额外效用。
而且,从反映最优消费的式(4-1)可以看出,理性人会始终选择购买那些“单位支出带来的边际效用”最大的商品,从而使自己的收入实现最优配置,因此,收入效用其实是理性人通过一系列最优消费所获得的效用,一定是被“最大化”了的效用。
图4-2 收入效用函数曲线
显然,随着收入增长,理性人会优先满足自己最迫切的消费需求,再满足次迫切的消费需求,然后再满足更不迫切的消费需求,所以,理性人从其收入(代表所购商品)中获得的边际效用会越来越低,也遵从边际效用递减定律。理性人的“收入效用曲线”如图4-2所示。