单位支出的保险边际效用的刻画

三、单位支出的保险边际效用的刻画

假定消费者的期初财富为W0,现在有一笔新增收入I可用于购买保险,不失一般性,再假定已购买保额X(0≤X≤L),现在需要计算的是,在此基础上,单位支出(多花1元钱购买保险)的保险边际效用是多少?

如上一节所述,保险的边际效用,通常是指多购买1元保额的保险所带来的(收入)效用的增量,在已有保额X的基础上再多购买1元保额带来的边际效用如式(4-3)所示。

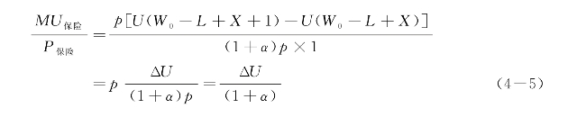
但现在要计算的,是在已有保额X基础上,再多花1元钱购买保险所获的边际效用。显然,只要将多购买1元保额带来的边际效用除以相应的保费支出“(1+α)p×1”,就可以得到单位支出(多花1元钱)的保险边际效用,即

其中,

p表示保险风险出险概率;

α代表附加费率,是附加保费与纯保费之比;

ΔU表示1元钱赔付带来的收入效用。ΔU的大小与U(W)、W0、L和X有关,在U(W)满足边际效用递减、W0和L已知的条件下,ΔU是X的减函数,X越大,ΔU越小。

需要说明的是,式(4-5)的结果可能会使读者大吃一惊,因为,若附加费率α为零,1元钱保费换来的效用竟然是1元钱赔付带来的收入效用ΔU。难道说,买保险,在附加费率为零的条件下,就是用现在的1元钱去换出险后的1元钱吗?

事实上,真要是出险了,当初1元钱保费换来的赔付肯定不止1元钱,而是远超1元钱,而且,出险概率p越低,换来的赔付额越高,也就是说,如果不考虑概率,1元钱保费换来的收入效用是大幅跳升的[6]。但是,保险赔付是以出险概率p发生的,因此,1元钱保费换来的效用,要在赔付带来的收入效用基础上乘以p。所以,式(4-5)中的其实就是1元钱保费换来的赔付的收入效用[7],在此基础上乘以p,就得到1元钱保费带来的保险效用。结果是,分子和分母中的p约掉后,单位支出的保险边际效用就变成了

可见,买保险,在附加费率为零的条件下,本质上确实相当于用现在的1元钱去换出险后的1元钱。图4-5给出了附加费率α为零的条件下,多花1元钱购买保险的保险边际效用ΔU。

图4-5 单位支出(1元钱)的保险边际效用(假设附加费率为零)