“拆散”和“低价”可以大幅提升边缘群体的保险需求

二、“拆散”和“低价”可以大幅提升边缘群体的保险需求

经过设计改造后,线上保险与线下保险就有了区别,因此,我们无法用经济学的需求定律说,价格降低,导致需求量增加。但是,上述改造确实可以提升需求,这是为什么呢?

1.保险需求的财富效应理论

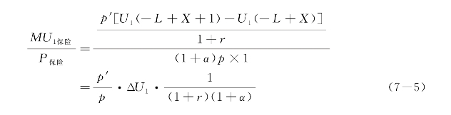
根据行为保险需求理论中保险需求的财富效应,对于财富无法满足生理需求或刚性需求的人们而言,因对未来收益贴现率过大而导致他们大幅低估了保险边际效用,财富水平越低,折现率越大,对保险边际效用的低估程度就越大,越不可能购买保险。如行为投保决策模型中式(7-5)、(7-6)所示。

其中,r为1年期保险的保险赔付的贴现率。贴现率与财富水平的关系如图7-9所示。

图7-9 贴现率与财富水平的关系

决策者购买保险的条件为

可见,当财富水平低于“满足生理需求的财富水平”时,贴现率r迅速上升,导致保险边际效用迅速下降,进而导致保险需求迅速下降。

2.边缘群体的投保决策

所谓“边缘群体”,是指那些财富水平刚好高于“满足生理需求的财富水平”、但余钱不多的人群。显然,保单单价高低对边缘群体的投保决策有重大影响。

例如,对传统线下重大疾病保险产品而言,通常都是长期期交产品,30万保额、20年期交保费终身重疾险的年交保费通常在5 000元以上甚至在10 000元以上(年龄越大、保费越高)。购买单价如此高的保单,对边缘群体来说,保费交纳很可能会使其财富水平下降至低于“满足生理需求的财富水平”的水平。如图7-9所示,一旦由于交保费而使财富低于“满足生理需求的财富水平”,贴现率会急剧变大并导致其保险效用急剧下降,这会让边缘群体选择放弃购买传统重大疾病保险。

但是,对传统线下保险产品进行如本节第一部分所示的改进后,单价大幅降低了,再加上交费方式从年交改为月交,保费负担进一步降低了。而且,将期交均衡保费长期保险改为短期保险后,由于年龄越低,风险越低,保险费率越低,保险费率看起来似乎更低了。最终,不少保险产品月交保费只有10元、20元或100左右。对边缘群体来说,这笔支出几乎不会使其财富降至低于“满足生理需求的财富水平”的水平,交纳保费不会影响其刚性支出。从理论上来看,这笔小额保费支出不会触及图7-9“满足生理需求财富水平”垂线左侧客户贴现率很高的地方,保险边际效用几乎不会因贴现率过高而大幅降低。

在这种情况下,边缘群体购买保险的收入约束就基本被消除了,此时,保险边际效用通常会大于购买其他商品的边际效用,进而促动他们下手购买。

这里所称的“边缘群体”,被互联网界称为“下沉市场”。