行为投保决策模型:公式表述
2025年09月26日
一、行为投保决策模型:公式表述
如前几章所述,基于消费选择思维,消费者面临的投保决策思维框架可以描述为:“我的期初财富为W0,我现在有一笔新增收入I,如果购买保险,这笔新增收入正好等于最优保险购买量[2]所需的保费,这笔新增收入也可用于购买其他商品。那么,我到底应该购买保险,还是购买其他商品呢?”
我们仍用前述案例来说明。假设张三的期初财富为W0,全景效用函数为U1(Z),形状如图6-4所示,Z为某项行动导致的相对于参照点的财富偏离值。期初财富W0为张三的参照点,参照点右侧的效用函数与伯努利效用函数一致,参照点左侧的效用函数则体现相应程度的损失厌恶,且在左侧归并到伯努利效用函数曲线上,体现出对大损失或超大损失的风险厌恶。
张三有一处房产,该房产面临火灾风险,房产重建造价为L。保险定价使用的火灾发生客观概率为p,但张三心目中的火灾发生主观概率为p′,一旦发生火灾,张三将遭受全损,损失为L。下面用边际效用均衡模型分析张三是否投保?如果投保,选择多大保额X?
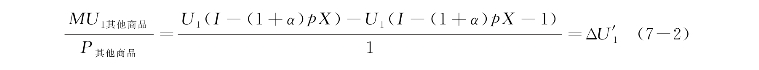
下面的式(7-1)、(7-2)、(7-3)和(7-4)给出了张三的行为投保决策模型。
其中,
p′是主观风险发生概率;p是客观风险发生概率;
描述了决策者的风险判断偏差;
α是附加费率,即附加保费与纯保费之比;
ΔU1是用全景效用函数计算的单位赔付带来的收入效用;
ΔU′1表示全景效用函数中单位支出的其他商品边际效用(由于参照点右侧全景效用函数与伯努利效用函数重合,因此ΔU′1=ΔU′)。
显然,表示多花1元钱购买保险带来的效用,ΔU′1表示多花1元钱购买其他商品带来的效用,只有当前者大于后者,即满足式(7-3)时,决策者才会购买保险。而且,决策者会一直增加保额,直到两者相等,即满足式(7-4)为止。