四、单位支出的其他商品边际效用的刻画
假定消费者的期初财富为W0,现在有一笔新增收入I,如果用于购买其他商品,会获得多少边际效用呢?为了不失一般性且具有可比性,假定消费者已花费(1+α)pX购买其他商品(与购买保额为X的保险花费相同),现在要计算的是,再多花1元钱购买其他商品可以带来多少效用呢?
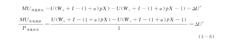
如本节第一部分所述,在消费者理性条件下,其他商品效用一定等于其购买支出对应的收入效用或财富效用,因此,在消费者已花费(1+α)pX购买其他商品的基础上,再多花1元钱购买其他商品带来的效用,即单位支出(1元钱)的其他商品边际效用为

式(4-6)所示的单位支出的其他商品边际效用ΔU′如图4-6所示。

图4-6 单位支出的其他商品边际效用(在(1+α)pX基础上再多花1元)