四、单位支出的其他商品边际效用
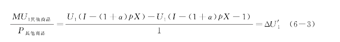
在全景效用函数条件下,单位支出(多花1元钱)购买其他商品带来的效用在参照点右侧,由于参照点右侧的全景效用函数与伯努利效用函数完全重合,因此,单位支出的其他商品边际效用与式(4-6)类似,不失一般性,就是在全景效用函数条件下,在消费者已经花费(1+α)pX购买其他商品的基础上,再多花1元钱购买其他商品带来的收入效用,即

其中,
I表示新增收入,如果购买保险,这笔新增收入正好等于最优保险购买量所需的保费;
ΔU′1表示全景效用函数条件下参照点右侧单位支出的其他商品边际效用;
由于参照点右侧的全景效用函数与伯努利效用函数完全重合,因此,ΔU′1=ΔU′,ΔU′表示伯努利效用函数条件下单位支出的其他商品边际效用。