假设条件与现实世界有诸多不符
2025年09月26日
三、假设条件与现实世界有诸多不符
但在现实世界中,上述三条假设都可能得不到满足:
第一,现实中的个体很难准确评估自己面临的风险。大量心理学研究成果表明,人们的风险是主观的,人们的主观风险判断与客观统计风险之间往往存在较大的偏差。
从期望效用最大化投保决策模型来看,如果消费者低估了自己面临的风险,自然就会低估纯保费或公平保费,就会觉得保险公司要价过高,保险需求就下降甚至消失了。
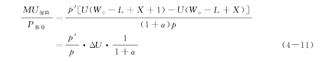
从边际效用均衡模型来看,如果客观出险概率为p,消费者的主观出险概率为p′,则多花1元钱购买保险带来的边际效用就从式(4-5)变为式(4-11)。
消费者购买保险的条件从式(4-7)变为式(4-12)
显然,如果消费者低估了保险风险的出险概率,就低估了购买保险的边际效用(或保险价值),保险需求就下降甚至消失了。
第二,当面临可投保风险时,个体可能呈现风险喜好。卡尼曼和特沃斯基提出的前景理论认为,人们在面临损失风险时,往往是风险喜好而非风险厌恶的。如果人们在面对可投保风险时呈现风险喜好,就意味着人们不愿意支付附加保费,就会认为包含附加保费的保险价格过高,价格高于价值,有效保险需求也就消失了。
第三,个体的风险判断和保险价值评估很容易随着时间推移和风险事件的发生或不发生而变化,继而导致人们的保险需求也容易发生变化。例如,当风险事件发生在自己身上后,个体的主观风险往往会急剧上升,对保险的估值也会急剧上升,保险需求或投保意愿急剧攀升。