一、风险判断偏差引发的边际效用均衡模型变化
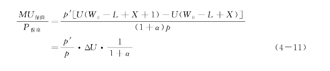
如上一章第六节提到的,当消费者无法准确评估风险时,消费者单位支出的保险边际效用计算公式为

其中,
p′为个体的主观概率,p为保险公司定价使用的统计概率;
ΔU为1元赔付带来的收入效用;
α为附加费率。
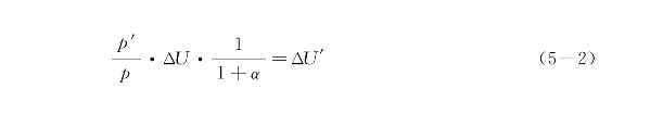
结合公式(4-4)、(4-6),可知消费者购买保险的条件为

其中,左边是消费者花1元钱购买保险带来的效用,右边是消费者花1元钱购买其他商品带来的效用。
而且,如果满足式(4-12),消费者会一直增加保额,直到式(4-12)左右两边相等为止,即一直增加保额到满足式(5-2)为止。
