附加费率大于零时的投保决策:部分保险

七、附加费率大于零时的投保决策:部分保险

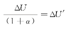
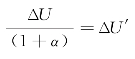
在附加费率大于零的条件下,消费者会将保险购买到边际均衡,即的程度。

如上所述,当附加费率为零时,消费者会将保额买至足额保险为止,而且,买到足额保险时,满足ΔU≈ΔU′。由此可以推断,只要附加费率α大于零,就会使消费者在还未买到足额保险时的某点,就达到了,因此,当附加保费大于零时,消费者会选择部分保险。

而且,明显地,附加费率越高,消费者购买的保额就越低;附加费率过高,消费者的保险需求会消失。