板块二 新知探究:明晰

板块二 新知探究:明晰

活动一:探索百分数的产生和意义

生:2号的投篮更准!

生:我觉得不一定,如果1号投了100次才中9次,而2号投5次就中5次呢?不知道他们的投篮次数,没办法比较。

师:你考虑问题真全面!现在有了投篮次数,你会比了吗?先独立思考,在练习本上写一写吧!(课件出示投篮次数)

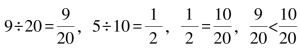
生:分别计算出1号和2号的投中次数是投篮次数的几分之几,再比大小。,所以2号投篮更准。

师:讲解得真清楚,掌声送给这位同学!你还有不同的想法?

生:我觉得还不到一半,等于一半,所以

师:找到了“一半”这个桥梁来比较,也很不错!谁再来说一说这里的分别表示什么?

生:表示1号投中次数是投篮次数的表示2号投中次数是投篮次数的

师:现在3号同学来了,这3个同学相比,谁的投篮更准呢?先自己算一算。

生:需要先求出3号投中次数是投篮次数的几分之几,再比大小。

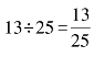
,因为,所以,3号投篮更准。

师:你的讲解清晰明了,能说说为什么通分成100吗?

生:因为20、2和25的最小公倍数是100,通分成分母是100的分数方便比大小。

师:像这样表示一个数是另一个数百分之几的分数,我们通常写成百分数的形式:45%、50%、52%。你能说一说这里的45%、50%和52%分别表示什么吗?

生:45%表示1号投中次数是投篮次数的,50%表示2号投中次数是投篮次数的,52%表示3号投中次数是投篮次数的

师:你能用一句话来概括百分数表示的含义吗?先独立思考,然后同桌互相说一说吧!

生:百分数表示一个数是另一个数的百分之几。

师:真善于总结!在生活中为了便于统计和比较,我们经常用百分数来表示两个量的关系。

师:平时我们经常用哪个词来形容投中次数是投篮次数的百分之几?

生:命中率。

师:所以百分数又叫百分率。同学们通过计算发现3号同学的投篮更准,那么如果让3号去参加比赛,他在比赛中的命中率一定是52%吗?

生:不一定,发挥得好可能高于52%,发挥得不好可能低于52%。

师:看来命中率有一定的随机性。课前给大家看了姚明NBA生涯的投篮情况,姚明的命中率也是52%,是不是说明3号同学的投篮水平和姚明一样呢?

生:不能,因为姚明投篮的次数是6408次,而3号只有25次。

生:姚明的命中率52%更能代表他的实力,而3号投篮的次数少,他的命中率52%更有偶然性。

师:同学们真善于思考,看来你们真的读懂了百分数。

设计意图:通过让学生当裁判比一比谁的投篮准,充分调动了学生学习的兴趣。在解决问题的过程中,学生体会到了百分数更便于比较,理解了百分数的含义。最后把3号同学和姚明的命中率进行对比,让学生初步理解百分数的随机性及统计意义。这样既凸现了百分数产生的必要性,又突破了百分数的意义这一学习重点。

活动二:深度理解百分数的意义

1.结合生活实例理解百分数的意义。

师:百分数在生活中有广泛的应用,请看老师找到的百分数。(课件出示)这些百分数表示什么意思呢?请在小组内互相说一说吧!

师:哪个小组来汇报?

生:我是1号,我来讲第一幅图,75%表示酒精的体积占洗手液总体积的75%,99.999%表示可以杀灭的细菌数量占细菌总量的99.999%,说明这个洗手液的质量很好。

生:我是2号,我来讲第二幅图,100%表示这件衣服含棉量占这件衣服面料总成分的100%,说明这件衣服是纯棉的。

生:我是3号,我来讲第三幅图,120%表示把女生的人数看作单位“1”,平均分成100份,男生人数是这样的120份。

师:这个小组的同学讲得真精彩,掌声送给他们!根据我们班男生人数是女生人数的120%,你能写出男、女生人数的比吗?试一试。

生:男、女生人数的比是120:100,化简后是6:5。

师:看来根据一个数是另一个数的百分之几,我们还可以得出这两个数的比,所以百分数又叫百分比。

师:课前同学们也收集了一些生活中的百分数,谁来和大家分享一下?

生:羽绒服中白鸭绒的含量是90%,毛片含量10%。

生:早餐奶中蛋白质的含量是6%。

生:手机充电时显示手机电量80%,说明已经充了80%。

师:百分数在生活中的用途可真大,很多同学都想分享自己寻找的百分数,现在小组内互相说一说吧!

师:请同学们回过头来看这几个百分数,观察它们的分子,你有什么发现?

生:百分数的分子有的是整数,有的是小数。

生:百分数的分子有的小于100,有的等于100,还有的大于100。

设计意图:结合具体实例深入理解百分数的含义,同时通过几个有代表性的百分数75%、99.999%、100%、120%,让学生明确百分数的分子可以是整数或小数,可以大于100、等于100或小于100。引导学生分析120%的含义并与比建立联系,揭示百分数又叫百分比。

2.结合图形理解百分数的意义。

师:你们真善于观察。其实在数学上我们也经常用图形表示百分数(出示正方形),把正方形平均分成100份,这样的1份用百分数表示就是1%,所以百分数的分数单位是1%。这样的8份呢?它有多少个分数单位?

生:这样的8份是8%,8%里面有8个1%。

师:没有涂色的部分用哪个百分数表示?又有多少个分数单位呢?

生:没有涂色的部分占92%,92%里面有92个1%。

师:有时我们在圆形中表示百分数,把一个圆平均分成100份,这样的1份用哪个百分数表示?20份呢?

生:这样的1份是1%,这样的20份是20%。

师:这里的20%表示我国人口数量占世界人口总量的20%。再来看这里的7%表示什么?

生:7%表示我国耕地面积占世界耕地面积的7%。

师:对比这两个百分数,你有什么想法?

生:中国用占世界7%的土地养活了占世界20%的人口,这说明我们的国家很强大。

师:老师听出了你作为一个中国人的自豪。谁还有补充?

生:中国的耕地面积少,人口多,我们要保护耕地、爱惜粮食。

师:说得真好!在我们国家,有一位科学家毕生都在为解决我国的粮食问题而奋斗,知道他是谁吗?

生:杂交水稻之父袁隆平。

师:对,就是袁隆平爷爷,请看下面这段材料。(课件出示题目

选择合适的分数填空:30% 100% 130%

袁隆平研发的水稻技术使我国的水稻产量大幅提升,新品种水稻产量是原来的(  )。

生:应该选130%,因为这里说新品种水稻产量大幅提升,说明新品种水稻产量比原来多。

师:接着读这段材料,又该填哪个百分数呢?(课件出示)

2022年我国水稻产量高居世界第一,占世界水稻产量的(  )。

生:应该选30%,因为世界上有200多个国家,我国的水稻产量只是世界水稻产量的一部分,应该比100%小。

师:解释得真清楚!看来同学们真的读懂百分数的含义了。那么百分数和分数有什么区别与联系呢?让我们一起来辨一辨!

设计意图:结合图形,直观理解百分数的含义及分数单位。同时,选取了“中国人口占世界人口的20%”和“中国耕地面积占世界耕地面积的7%”这两个百分数,让学生通过对这两个百分数的对比感受祖国的强大和袁隆平对中国粮食生产做出的巨大贡献,渗透了爱惜粮食、保护耕地等品德教育,培养了学生的民族自豪感和家国情怀。

活动三:探索百分数与分数的联系和区别

师:下面的分数能用百分数表示吗?为什么?(课件出示)

1.课桌高米。2.桌面宽是长的

生:都能用百分数表示。

生:不对。因为百分数表示一个数是另一个数的百分之几,它只能表示两个量之间的关系,不能表示一个具体的数量。所以第1个米不能用百分数表示,第二个宽是长的可以用百分数71%表示。

师:你理解得真透彻!那么百分数和分数的区别与联系是什么呢?

生:百分数是一个特殊的分数,它只表示一个数是另一个数的百分之几,而分数不仅可以表示两个量之间的关系,还可以表示一个具体的数量。(课件出示)

师:这节课我们探索了百分数的意义,知道了百分数在生活中的广泛应用,还明白了百分数和分数的联系与区别。大家掌握得怎么样呢?下面就让我们进行闯关练习吧!

设计意图:通过引导学生判断两个分母是100的分数能否改写成百分数,辨别百分数与分数的区别和联系,在辨别中使学生对百分数意义的理解更加透彻。