1.8.1 螺栓、螺钉、螺柱的机械性能
(GB/T 3098.1—2000)
螺栓、螺钉、螺柱的机械性能见表1.8-1~表1.8-8。
表1.8-1 标记制度

注:虽然本表给出了高级别的性能等级,但并不意味着这些等级适用于所有的产品。适用的性能等级应按产品标准的规定。对非标准紧固件,尽量参照类似的标准紧固件选用。
① 仅适用于d≤16mm。
表1.8-2 螺栓、双头螺柱和螺钉的荐用材料与热处理

① 硼的质量分数可达0.005%,其非有效硼可由添加钛和(或)铝控制。
② 这些性能等级允许采用易切钢制造,其硫、磷及铅的最大质量分数为:硫0.34%;磷0.11%;铅0.35%。
③ 为保证良好的淬透性,螺纹直径超过20mm的紧固件,需采用对10.9级规定的钢。
④ 碳的质量分数低于0.25%(桶样分析)的低碳硼合金钢的锰最低质量分数为:8.8级:0.6%;9.8、10.9和10.9级:0.7%。
⑤ 该产品应在性能等级代号下增加一横线标志。10.9级应符合表1.8-3对10.9级规定的所有性能,而较低的回火温度对其在提高温度的条件下,将造成不同程度的应力削弱。
⑥ 用于该性能等级的材料应具有良好的淬透性,以保证紧固件螺纹截面的心部在淬火后、回火前获得到约90%的马氏体组织。
⑦ 合金钢至少应含有以下元素中的一种元素,其最小质量分数为:铬0.30%;镍0.30%;钼0.20%;钒0.10%。
⑧ 考虑承受抗拉应力,12.9级的表面不允许有金相能测出的白色磷聚集层。
⑨ 该化学成分(质量分数)和回火温度尚在调查研究中。
表1.8-3 螺栓、双头螺柱和螺钉的机械和力学性能

(续)

① 因超拧造成载荷超出保证载荷时,对螺纹直径d≤16mm的8.8级螺栓,则增加了螺母脱扣的危险。推荐参考GB/T 3098.2。
② 仅适用于螺纹直径d≤16mm。
③ 对钢结构用螺栓为12mm。
④ 最小抗拉强度适用于公称长度l≥2.5d的产品;最低硬度适用于长度l<2.5d以及其他不能进行拉力试验(如头部结构的影响)的产品。
⑤ 对螺栓、螺钉和螺柱的实物进行楔负载试验时,应按σbmin计算。
⑥ 在螺栓、螺钉和螺柱末端测试的硬度的最大值为:250HV、238HBW或99.5HRB。
⑦ 表面硬度不应比心部硬度高出30个维氏硬度值。10.9级的表面硬度不应大于390HV0.3。
⑧ 当不能测定屈服点σs时,允许以测量规定非比例伸出应力σp0.2代替。4.8、5.8和6.8级的σs值仅为计算用,不是试验数值。
⑨ 按性能等级标记的屈强比和规定非比例伸长应力σp0.2适用于机械加工试件。因受试件加工方法和尺寸的影响,这些数值与螺栓和螺钉实物测出的数值是不相同的。
表1.8-4 粗牙螺纹的最小拉力载荷

(续)

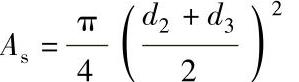
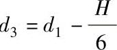
① 
式中 d2——螺纹中径的基本尺寸(mm);
d3——螺纹小径的基本尺寸(d1)减去螺纹原始三角形高度(H)的1/6值,即:
;
H——螺纹原始三角形高度(mm),H=0.866025P;
P——螺距(mm);
π——圆周率,π=3.1416。
② 对钢结构用螺栓,分别以70000N,95500N和130000N代替。
表1.8-5 粗牙螺纹的保证载荷

(续)

① As的计算见表1.8-4注①:
② 对钢结构用螺栓,分别以50700N、68800N、94500N代替。
表1.8-6 细牙螺纹的最小拉力载荷

(续)

注:P—螺距。
① As的计算见表1.8-4①。
表1.8-7 细牙螺纹的保证载荷

注:同表1.8-6。
表1.8-8 机械性能的试验项目

(续)

注:螺纹直径d≤3mm或长度l<2.5d(也包括特殊头型或杆部结构比螺纹截面强度更弱的螺栓和螺钉)用“○”标记;螺纹直径d>3mm和长度l≥2.5d用“●”标记。
① 如果进行了楔负载试验,则不必再做拉力试验。
② 最低硬度仅适用于公称长度l<2.5d和不能进行拉力试验或扭矩试验的产品(如头部结构的影响)。
③ 可以采用维氏、布氏或洛氏硬度进行试验,如有争议,以维氏硬度试验为验收依据。
④ 仅适用于长度l≥6d的螺栓、螺钉和螺柱。
⑤ 仅适用于不能进行拉力试验的螺栓和螺钉。
⑥ 头部结构比螺纹截面强度更弱的特殊头型的螺栓和螺钉,不进行楔负载试验。
⑦ 根据用户要求,仅适用于螺纹直径d≥16mm的螺栓、螺钉和螺柱。
⑧ 仅适用于5.6级。
⑨ 仅适用于螺纹直径d≤10mm,且长度太短而不允许进行楔负载试验的螺栓和螺钉。
⑩ 不是必须进行的,仅适用于有争议时的仲裁试验。