上海城市休闲化发展协调度评价研究

上海城市休闲化发展协调度评价研究

许 鹏 毛润泽[1]

一般而言,一个国家或地区人均GDP(国内生产总值)达到3 000—5 000美元时,这个国家或地区就将逐步进入休闲时代。我国人均GDP在2008年达3 000美元,2014年突破7 000美元,这为我国步入休闲时代提供了强有力的经济支撑。居民休闲意识的逐步增强、休假制度的逐渐完善以及相关法律法规的相继出台,为居民休闲旅游提供了时间和制度上的保障。正是在这样的时代背景下,城市休闲功能得以凸显,城市休闲化和休闲城市建设随之成为国内众多城市的口号和目标。国内有关城市休闲化的研究也因此逐渐趋热,相关研究主要关注城市休闲化水平的评价和模型的构建,以及社会经济发展与城市休闲化之间的关系等内容,这些研究成果客观上有助于推进我国城市休闲化的建设,但也表明在城市休闲化要素协调方面的探索还略显薄弱,导致研究的理论影响力和实践指导意义没有得到充分发挥。

基于此,本文尝试将协调度概念引入到城市休闲化研究中来,构建城市休闲化发展协调度评价指标体系及协调度评价模型,以期对城市休闲化的协调发展水平进行全面客观的评价和分析。上海作为我国最大的经济中心城市,其城市休闲化发展起步早、水平高,故而本文选择上海作为城市休闲发展协调度评价的对象。希望通过对上海城市休闲化进程的科学梳理和深入剖析,准确归纳和总结上海城市休闲协调发展的不同阶段及特征,从而为上海乃至全国城市休闲化的可持续发展提供借鉴。

城市休闲基础环境是城市休闲化的载体,良好的城市基础环境对居民的休闲生活质量有积极作用。休闲产业是城市休闲生活的趋新、趋异需求,驱动着城市生活的流行风向标。完善的休闲产业体系是满足本地居民日常休闲需求和外来游客旅游活动需求的重要支撑。居民休闲消费是城市休闲化的核心,消费结构优化与居民生活幸福感程度密切相关。基础环境、休闲产业和居民休闲消费三者间相互促进、相互影响。基于此,本文从上述休闲基础环境、休闲产业及居民休闲消费三个维度对城市休闲化发展协调度进行研究和分析。依据指标构建的全面性、系统性、科学性和可行性等原则,本文尝试构建城市休闲化发展协调度的评价指标体系。该指标体系由目标层、系统层、准则层和指标层4级构成,共26个指标。其中,在休闲基础环境方面,包含交通便捷、公园景区、人居环境和安全环境等指标;在休闲相关产业方面,涉及产业结构、文化娱乐业、零售业和旅游业等指标;在居民休闲消费方面,囊括经济发展、居民收入和居民支出等指标。本文采用熵值法对评价指标进行赋权。

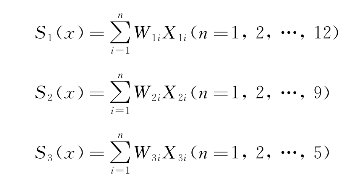
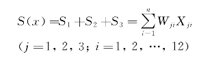
本文所构建的协调度模型属于静态模型,主要针对上海城市休闲化发展协调度从纵向上作时间序列分析。此外,选择南京、苏州、杭州和宁波四个城市作为样本参照,从横向上进行比较分析。模型包括系统综合指数模型、两两系统协调度模型和综合协调度模型。为了便于模型的构建,本文设城市休闲化系统为Sj(j=1,2,3),其中S1、S2、S3分别代表休闲基础、休闲产业和休闲消费;系统各个指标标准化后的向量为Xji(j=1,2,3;i=1,2,…,12);各个指标所对应的权重为Wji(j=1,2,3;i=1,2,…,12)。

1.系统综合指数模型

系统综合指数用来反映城市休闲化水平。其计算公式为:

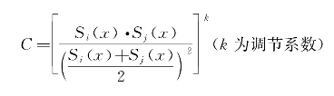
2.两两系统协调度模型

两两系统协调度是从相对值的角度反映城市休闲化两两子系统的协调水平。

首先,计算两两子系统的协调度系数C:

其次,计算两两子系统的综合指数F:

F=αSi(X)+βSj(X)(α,β为权重)

最后,计算两两系统的协调度D:

3.综合协调度模型

综合协调度用来反映城市休闲化系统内部的休闲基础、休闲产业和休闲消费三者的发展一致性程度,用T来表示。

运用上述模型对上海城市休闲化发展协调度进行实证分析,本文得出研究结论如下:

第一,上海城市休闲化发展协调度日趋向好。自1978年以来,上海城市休闲化发展协调水平经历了由不协调向协调、再向中级协调发展的过程。1978—1987年上海在城市休闲基础、休闲产业、休闲消费综合协调度方面呈现极不协调的状态;1988—1999年上海休闲基础、休闲产业、休闲消费呈现比较不协调状态;2000—2002年呈现弱协调状态;2003—2004年向协调状态过渡;2005—2009年处于初级协调状态;2010年起处于中级协调状态。总体而言,休闲基础、休闲消费和休闲产业三个子系统相互影响,相互之间的协调度指数趋向越来越好。

第二,上海城市休闲化发展与国民经济发展同步。在城市休闲化发展协调水平发生改变的时间节点上,国民经济发展水平也在进行着质的跨越。1999年,上海人均GDP突破3 000美元;2003年,人均GDP突破5 000美元。因此,可以说,城市休闲化发展是以经济的发展为前提和基础的。

第三,上海城市休闲消费呈现“脱物化”趋势,并将成为推动上海城市休闲化发展的主要动力。上海城市休闲消费能力长期低于城市休闲基础和休闲产业能力,成为推动城市休闲化进程的软肋。但从1999年起,随着人均GDP突破3 000美元,城市休闲消费能力得到迅速提升,人们的休闲消费观念和方式也发生了改变,城市休闲消费呈现“脱物化”趋势。亦即人们对物质产品的休闲消费需求逐渐减弱,取而代之的是对非物质产品的休闲消费需求的不断增强。2011—2012年休闲消费综合指数超过休闲产业综合指数,与休闲基础综合指数基本持平,并显现出持续上升的趋势。因此,可以预期休闲消费将成为城市休闲化发展的新的推动力。

第四,上海城市休闲化发展综合协调度在长三角城市中处于领先水平,但城市休闲产业与休闲消费的协调度与其他城市相比领先优势不明显。

【注释】

[1]许鹏,上海旅游高等专科学校讲师。毛润泽,上海师范大学旅游学院副教授。