四、理论分析
2025年10月13日
四、理论分析
借鉴Jorgenson(1963)和吕冰洋等(2016)模型,假设企业的生产函数为F(K,L)=AKαL1-α,K、L分别表示资本和劳动。政府要根据企业产出征税,名义税率为t,税务部门的税收努力为eε-1,ε属于(0,1),企业的税收总额为T=teε-1F(K,L),企业的生产成本为劳动者工资W和L劳动数量的乘积WL,企业的投资成本为C(I),存在C′>0、C″>0,企业因给导游和旅行社回扣存在让渡利润βF(K,L),β属于(0,1)。由于边际利润递减这一特点,反复的回扣只能使得让渡利润越来越少。
企业的生产投入为劳动和资本,劳动投入来自劳动者的报酬W和劳动供给量L的乘积。资本投入为I,本文根据吕冰洋的方法,设置调整成本的投资为C(I),企业存在让渡给导游和旅行社的让渡利润,βF(K,L)按照企业利润最大化原则,即:
企业的资本折旧率为δ,企业的让渡利润率为μ,则企业的资本累积方程为:
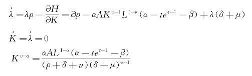
汉密尔顿函数为:H=AKαL1-α(α-teε-1)-Iv+λ(I-δK-μK)
则λ=v Iv-1
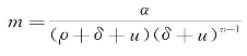
根据欧拉方程求得稳态均衡解为:
令,则Kv-α=Am L1-α(α-teε-1-β)。
可见,企业的存量受到政府税收和回扣的影响。