4.4 三色差分解法
时曰醇,字清甫,世为嘉定(今上海嘉定)人。
父时铭(1768-1827),嘉庆乙丑(1805年)科进士,嘉庆十九年(1814年)补齐东县(今山东邹平县内),道光元年(1821年)“以催科不力劾罢”,道光七年(1827年)卒于济南寓邸。数学著作有《笔算筹算图》一卷。
时曰醇的生卒年代不见于数学史专著,今据《嘉定县志》本传,知“光绪庚辰(1880年)卒,年七十四”。由此推得其生年为1807年。少时“入监,专治九数”。咸丰辛酉(1861年),丁取忠在武昌为湖北巡抚胡林翼(1812—1861)的幕宾。是年春,时曰醇与丁取忠同客武昌商榷百鸡术,“别后数月乃得通之”。同年重九日,时曰醇成《百鸡术衍》二卷[2]。晚年被聘入广方言馆。其时虽已“年老聋瞽”,仍为“诸生口讲指画,剖毫析芒”。时曰醇的著作还有《今有术申》一卷,《求一术指》一卷,而《百鸡术衍》二卷为其代表作。
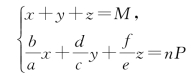
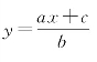
《百鸡术衍》二卷是关于三色差分的著作。全书共二十八题,以“旧学商量加邃密,新知培养转深沉”十四字为序,每序有上、下题。上题的旧、学、商三题,题各成组,量加、邃密新、知培养转深沉各成一组,共为六组。相应下题亦分别成组,仍为六组。各上题所给物数相同,值钱数不同,形如

的三元一次不定方程组,其中,a,c,e分别是大物、中物、小物的物数,b,d,f分别是其相应的值钱数,M为共物,nP为共值,a,c,e,b,d,f,M,nP皆为正整数,且![]()
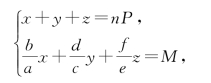
。相应的下题,值钱数相同,物数不同,具有如下形式:

其中,f,d,b为物数,e,c,a为值钱数,n P为共物,M为共值
,其余条件同上。
对全书的考察可知,P是

三色差分解法的基本思想是,减少题目未知数的个数,使不定解的问题,转化为确定解的问题,而后求解。
具体步骤是:先设一物为零,使得三色差分化为二色差分。借方程术解得一组解。次由约率加减得一组非负整数解。复由约率加减得一组整数解,使其对应的值钱数,亦皆为正整数。更由通率加减得其全部正整数解。该法的关键是正确地求出约率与通率。
时曰醇的三色差分解法,步骤明确,通行于全书二十八题。
兹录知上题原文,分步解释如下(表4.2):
表4.2 时曰醇的三色差分释意

续表

丁取忠为《百鸡术衍》(1861年)作序,盛赞时曰醇使百鸡术“灿然大著”,却没有提及骆腾凤术。
时曰醇自序,称丁取忠《数学拾遗》(1851年)“设术与二色方程暗合,乃通法”。而对骆腾凤求一解法,则说:“取笃颇巧,然于较除共较实适尽者不可求,……骆氏盖不知有方程本术也。”
时曰醇说骆腾凤不知有方程本术,这种观点显然不合事实。遇“共较实”恰能被“较”除尽时,只需约去公因子,同样可以用骆腾凤术求解。
为比较起见,我们现在来分析丁取忠、时曰醇的方法。(https://www.daowen.com)
《数学拾遗》法曰:
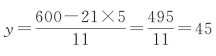
先取鸡母鸡雏二色差分,求鸡母原数。置鸡百只,以四归之,得二十五为原母数。以原母减鸡百只,余七十五为原雏数。
丁取忠继以经术鸡翁、母、雏增减率四、七、三损益之,而得三答。
时曰醇《百鸡术衍》造术,则为:
如方程,用鸡雏求,以左行首位雏直一遍乘右行,右行首位雏三遍乘左行,两两相减,上余八为法,下余二百为实。除之得二十五。以母一乘不变,即为鸡母数。以减共鸡一百,余七十五为鸡雏数,乃用翁雏较七减母,母雏较四加翁,母翁较三加雏,得鸡母一十八,鸡翁四,鸡雏七十八,为一答。以各依较数加减而得又答。
可参见表4.3。
表4.3 时曰醇的三色差分释意

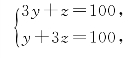
以上两术实质都是假设鸡翁为零,得二元一次方程组

消去z得8y=200,故y=25,其中200为实,8为法。时曰醇取方程组为

消去z后,所得答数一样。
很明显,上术若遇以法除实不尽时,则不能通过。此时时曰醇另立它术。我们可以通过实例来分析。
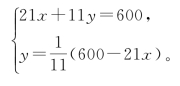
《百鸡术衍》卷上第3题为:“设大物一直三,中物三直五,小物五直一,共物一百,共直一百,问物大中小各几何?”用小数求,列方程为

消去z,得11y=200,法除实不尽。此时相当于用消去法将原来的两个方程化为一个二元一次不定方程

然后以x=1,2,…诸数试算,得x=5时,y为正整数
。显然,在这一情况,两者是一样的,都是先化得一个形如ax+by=c的不定方程,所不同者,骆腾凤是用大衍求一术来解此不定方程,而时曰醇则用试算的方法来求解。可见,丁、时法要真正成为通解,还必须求助于大衍求一术。
《百鸡术衍》采用丁取忠设一物为零的方法,所得二色差分借用梅文鼎(1633—1721)《方程论》(1672年)的方法求解,较二色差分本法简明,又首创约率简便算法、通率及其算法、加较减较法,构成三色差分的严谨解法。
作为三色差分的最早记载,百鸡问题给出物数两两互素且共物与共值相等。时曰醇去掉这些限制,使之一般化,进而揭示了“同解”的与“对称”的三色差分,从而提供了构造三色差分的一般方法。时曰醇之前的研究基本上是就题论题,未曾如此全面细致。《百鸡术衍》二卷可以视为三色差分的系统总结。但书中需要求解形如
的不定方程,时曰醇未能采用简便方法,而代之以试算,失之简捷。