8.7 欧拉定理
2026年01月14日
8.7 欧拉定理
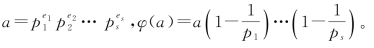
欧拉函数φ(m) 设m是正整数,0,1,2,…,m中与m互素的数的个数,记作φ(m),称为欧拉函数。
当a本身是素数p时,φ(p)=p-1,例如,φ(13)=12。
如果a可分解成不同素因数的乘积![]()
对一般的p,则须先分解成素因数再求出φ(p),例如,
p=225600=26×3×52×47,
故

在古历会积题中,出现了
奇数=9253,定母=225600。
按大衍求一术计算,易从
k·9253≡1(mod 225600)
算得k=172717。
若依西法,则须计算N=9253φ(225600)=925358880,即使一台现代化的计算机,要完成这一计算任务也是不容易的。(https://www.daowen.com)
欧拉函数解法
这里我们用欧拉函数解60x≡1(mod 13)这个数例。
解 m=13,素数,欧拉函数为φ(m)=12。
x=6012-1=6011=36279705600000000000。
可以核算:60×36279705600000000000≡1(mod 13)。
证明费马定理的方法也可用来证明以下费马定理的推广,这个推广叫作欧拉定理。
欧拉定理[10]设m为正整数,a为整数,当a与m互素时,则aφ(m)≡1(mod m)。
证明

作为欧拉定理的应用,有个系:设(a,m)=1,则同余方程ax≡b(mod m)的解为
x≡aφ(m)-1b(mod m)。
在系中,取a=Gi,m=ai,x=ki,并取b=1,这个系改写成:
设(Gi,ai)=1,则同余方程Giki≡1(mod ai)的解为![]()