18.2.2 混淆取解式
2026年01月14日
18.2.2 混淆取解式
《库达卡与大衍求一术》[6]一文中,求解不定方程137x+10=60y,应用达生、辛格降系数不定方程的结论。文中所说“情况1.1.1”,就是达生、辛格的情况(ⅰ.1),设商个数为偶数,我们有r2n=1,r2n+1=0。
求解过程全录如下。
例1 137x+10=60y。
这里a=137,b=60,c=10,辗转相除得
q1=2,q2=3,q3=1,q4=1,q5=8,
r1=17,r2=9,r3=8,r4=1,r5=0。
从情况1.1.1,y2=q5t+10=8t+10,t可以随意选,如t=1=x2,得y2=18。
于是从下而上递推依次得回代过程是
y=q1x+y1=2×130+37=297,
x=q2y1+x1=3×37+19=130,
y1=q3x1+y2=1×19+18=37,(https://www.daowen.com)
x1=q4y2+x2=1×18+1=19,
y2=18,
x2=1。
印度人氏习惯上把上面运算排成图式:

第一部分辗转相除和第三部分回代,不易犯错,关键在于取解式。
在本书18.3.3“用变量分析解137x+10=60y”中,我们分析了两种取解式。
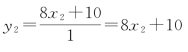
自然余数取1,由新变量
,得整除式,有初解:取y2=18,则有x2=1。
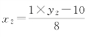
余数为0,降系数不定方程
中,有初解:取x2=1,则有y2=18。
库文中,用y2=q5t+10=8t+10,用到q5=8,余数r5=0,采用降系数不定方程取初解。我们看到,从“t可以随意选,如t=1=x2”,算得“y2=18”,明显不符合整除式取初解,即余数1初解的原术原意。见本书18.4“婆罗摩笈多的解法”。