11.2.3 降系数不定方程分析

11.2.3 降系数不定方程分析

我们在本书9.3节“形式分数的分母值取1”中,已经初步分析欧拉整数解思想。现在进一步列出降系数不定方程分析表,为研究印度数学史打下基础。

在表11.1降系数不定方程中,用“添”字标记新增添的各项。

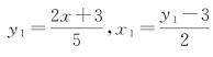
先看列。第三列为商5,2,1。第五列引入的新变量图示,都是形式上的分数、实质上的整数。整理新变量得第六列,为降系数不定方程2x+3=5y1,y1-3=2x1。第六列的降系数不定方程2x=5y1-3,y1=2x1+3,演变成第一列。

再看行。第一行出现新变量y1,第二行出现x1。第三行y1=2×x1+3是降系数不定方程,3不再是变量,此处与余数0相关联。

表11.1 降系数不定方程

图示(https://www.daowen.com)

欧拉求的是通解,带有一个参数x1,表示了不定方程的全部解。

余数为0,有降系数不定方程y1=2x1+3。取x1作任意整数,转入回代,得通解:x=5x1+6,y=7x1+9。

通解求出来,给出参数,就是特解。

我们取x1=1,有y1=5。逐步回代,x=11和y=16是不定方程5y=7x+3的一组特解。

降系数不定方程的背景是余数为0的现代辗转相除法。