5.7 同余的性质

5.7 同余的性质

定义 令m为非零整数,a和b是整数,如果a-b是m的倍数,我们说a,b关于模m同余,表示为a≡b(mod m),也就是说,当a和b都用m除时,余数相同。

不难看出,a≡b(mod m)⇔a≡b(mod(-m)),从而今后只讨论m为正整数的情况。

例如,5≡2(mod 3),-1≢6(mod 8)。

显然,a≡0(mod m)⇔m|a。

同余式有以下的性质:

引理1 同余关系是等价关系,也就是说:

(ⅰ)(反身性)a≡a(mod m)。

(ⅱ)(对称性)如果a≡b(mod m),那么b≡a(mod m)。

(ⅲ)(传递性)如果a≡b(mod m),b≡c(mod m),那么a≡c(mod m)。

例如,25≡19(mod 6),19≡13(mod 6),那么25≡13(mod 6)。

证明 (ⅰ)和(ⅱ)是显然的。对于(ⅲ):由于a≡b(mod m)和b≡c(mod m),可知m|a-b,m|b-c,从而m|[(a-b)+(b-c)]即m|a-c。因此a≡c(mod m)。

引理2 如果a≡b(mod m),x≡y(mod m),那么

(ⅰ)(等式求和差性)a+x≡b+y(mod m)和a-x≡b-y(mod m)。

例如,25≡19(mod 6),13≡7(mod 6),那么25±13≡19±7(mod 6)。

(ⅱ)(等式相乘)ax≡by(mod m)。

例如,25≡19(mod 6),13≡7(mod 6),那么25×13≡19×7(mod 6)。(https://www.daowen.com)

证明 由a≡b(mod m),x≡y(mod m),可知m|a-b,m|x-y,于是m|a(x-y)+y(a-b)=ax-by。因此ax≡by(mod m)。

必须指出,一般而言,等式的两边除以同一个数,等式不成立。

例如,6≡8(mod 2),但3≢4(mod 2)。

(ⅲ)对于每个整数k,ka≡kb(mod m)。

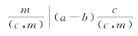
引理3 设ac≡bc(mod m),则图示。特别地,若(c,m)=1,则由ac≡bc(mod m)得到a≡b(mod m)。

证明 由引理的条件可知m|ac-bc=(a-b)c,于是图示。由于图示

这是等式的除法。这个引理的另一个表示法是:如果ac≡bc(mod mc),c≥1,那么a≡b(mod m)。

例如,21≡15(mod 6),3×7≡3×5(mod 3×2),那么7≡5(mod 2)。

引理4

(ⅰ)(关于模的因数)如果a≡b(mod m),m被d整除,d≥1,那么a≡b(mod d)。

例如,25≡19(mod 6),6被2整除,那么25≡19(mod 3)。

(ⅱ)如果a≡b(mod m),那么(a,m)=(b,m)。

证明 由条件知存在整数x使得a=b+mx,于是(a,m)=(b+mx,m)=(b,m)。

(ⅲ)a≡b(mod mi)(1≤i≤r)⇔a≡b(mod[m1,m2,…,mr])。

证明 由(ⅰ)知“⇐”是成立的。

另一方面,如果a≡b(mod mi)(1≤i≤r),则mi|a-b(1≤i≤r),即a-b是m1,m2,…,mr的公倍数,从而a-b是[m1,m2,…,mr]的倍数,即a≡b(mod[m1,m2,…,mr])。