9.2.2 解形如Z=ma+p=nb+q的一次同余式组
在此基础上,利用两系数“被a和b除所得的余数分别是p和q,这里a>b”,欧拉发展成为解形如Z=ma+p=nb+q的一次同余式组。
欧拉处理这样一个问题,求一个整数Z,被a和b除所得的余数分别是p和q,这里a>b,即有Z=ma+p=nb+q。欧拉从第二个方程解,采取了求a,b最大公因数的方法,把a,b辗转相除,求出一系列余数c,d,e,…,直到某一个余数能整除v=p-q为止。从而,欧拉可得

括号中是一个级数,级数的最后一项取决于能整除v的余数。
可能是狄克逊摘录时有所脱漏,作为一个普遍适用的解法,还要两个十分明显的条件:0<v<[a,b]和当Z为负值时,用若干个[a,b]减去Z。[a,b]表示a,b的最小公倍数。
在前面形如ma+v=nb的不定方程中,令v=p-q,就得到ma+p=nb+q,可以成为Z=ma+p=nb+q。我们证明如下:
把v=p-q和
代入不定方程ma+v=nb,得到记Z=ma+p=nb+q,有
(https://www.daowen.com)

为简化叙述,采用两个数字例子来介绍欧拉的解法。
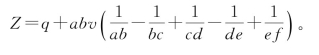
数例一 为利于比较,选用黄宗宪演算过的秦九韶“推计土功”题,从衍数3800和甲定27得到乘率23的两个互素模a=3800,b=27,即有a>b,[a,b]=102600。再任取一数56789作Z来核算。56789=14×3800+3589=2103×27+8,于是p=3589,q=8,v=p-q=3589-8=3581。用求a,b最大公因数的方法,把a,b辗转相除,求余数序列:a÷b=3800÷27,余20,令c=20;b÷c=27÷20,余7,令d=7;c÷d=20÷7,余6,令e=6;d÷e=7÷6,余1,令f=1。检查知,余数序列c,d,e,f,…中,只有f=1能整除v=3581,因此,括号中取5项,

a,b的最小公倍数是102600,54434789-102600×530=56789,正是所设的Z。
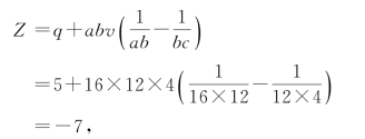
数例二 取有公因数4的两个模a=16,b=12,即有a>b,[a,b]=48。再任取一数89作Z,89=5×16+9=6×12+5,p=9,q=5,v=p-q=9-5=4。把a,b辗转相除,求余数序列:a÷b=16÷12,余4;令c=4。检查知,余数序列c就能整除v=4,因此,括号中取二项,

a,b的最小公倍数是48,48×2-7=89,正是所设的Z。此法需要考察v=4的整除,说明注意到同余式组的可解条件问题[1]。