18.3.3 用变量分析解137x+10=60y
我们用欧拉的思路,试解137x+10=60y(表18.4)。两系数为偶序整数对,附加数10为正,恰巧与5y=7x+3是同一类型。
表18.4 137x+10=60y的变量分析表

续表

由此,我们看到两种取解式:自然余数1取解式和余数0取解式,背景不同。
表18.4中,8=1×8+0,余数为0时有降系数不定方程
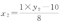
。满足降系数不定方程的,先有初解x2=1,再有y2=18。
9=8×1+1,余数为1时,有新变量
。满足整除式,有初解y2=18,才有x2=1。
可见,依据原始辗转相除所取得的初解,只适应整除式,不适应现代辗转相除背景下的降系数不定方程。