9.3 形式分数的分母值取1
当前中学教材中采用未知数代换的不定方程整数解法,公认源于1770年欧拉的通俗教本《代数》。我们称之为1770年欧拉的“形式分数的分母值取1”方案。
欧拉把原不定方程常数,同步参与两系数的辗转相除,引入新变量,出现形式上的分数,实质上的整数。整理新变量,可以得降系数不定方程。等到出现自然余数1,形式分数就因分母取1而体现整数值,从而体现了整数解。
鉴于狄克逊《数论史》的表述夹叙夹议,我们直接引用文献“Algebra,2,1770,§4-23;French Transl.,Lyon,2,1774:5-29;Opera Omnia,(1),I:326-339”(原书所列文献,原格式抄录),但数例记作5x=7y+3。
为全书统一,我们采用“大系数项ax”约定,先行交换未知数字母,成为5y=7x+3。后继字母,采用带脚注的x1,y1等替换文中的z,u等。这种做法不会影响理解欧拉原意,将来可适用于印度库达卡的研究。
欧拉用了总是以较小数为除数的方法,本质上是紧随着罗尔。对于5y=7x+3,有

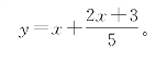
分子必然是5的倍数,这样有2x+3=5y1,

因而,x=5x1+6,y=7x1+9。他表明,这个过程等价于求5和7最大公约数的过程:
7=1×5+2, x=1×y+y1,
5=2×2+1, y=2×y1+x1,(https://www.daowen.com)
2=2×1+0, y1=2×x1+3。
这个过程等价于求5和7最大公约数的过程,求出自然余数1和余数0(表9.1)。这里着重分析引入新变量的作用。
表9.1 5y=7x+3的变量分析

“分子(2x+3)必然是5的倍数”一语,描述的是形式分数,所说倍数值是y1,整数。引入新变量y1(z)
,整理得2x+3=5y1。
第二次除法5=2×2+1,得自然余数1,

最后余数0除法的除数1,成为形式分数
的分母,形式分数消失,为整数2x1+3。
变量分析表中,回代用双等号区分。
以最后引入变量x1作任意整数,得到x=5x1+6,y=7x1+9,就是5y=7x+3的一般解。