18.2.1 降系数不定方程来源
达生、辛格按自然余数1商个数的奇偶,把整数对分成两大类。把两系数辗转相除到余数1、余数0,列为情况ⅰ。情况ⅱ,则指辗转相除中途结束,并未求到余数1、余数0。
降系数不定方程的字母体系与脚码繁复难记。为方便读者,我们以阿耶波多不定方程137x+10=60y为例,属于ax+c=by(I),附加数c紧随大系数ax。因137x+10=60y,两系数137和60辗转相除,自然余数r4=1的除法序数是4,为偶数。因此,137和60为偶序整数对。
依据欧拉变量代换基本思路,列出偶序整数对的降系数不定方程演算表(表18.1)。
表18.1 偶序整数对137与60降系数不定方程

第4次除法出现自然余数1(r4),引入新变量
,整理成降系数不定方程8x2+10=y2。
第5次除法为余数0,没有引入新变量,整理成8x2=1×y2-10,也是降系数不定方程。
下面,我们逐字翻译英文版[5](2001年最新版)第86到99页,达生、辛格的降系数不定方程的解法。对核心段落情况(ⅰ.1),即偶序整数对且辗转相除到余数0的这一段,特地插入方括号的编号注释。
偶序整数对137和60辗转相除,余数为0时,商总个数5,奇数。第4次除法9=8×1+1得余数1,商个数4,为偶数。脚注中,记n=2,于是,2n=4,2n-1=3。
这里展示的降系数不定方程解法,属于1770年欧拉的“形式分数的分母值取1”方案的思路,不列作单独的解法。参见本书11.2.1“解法分类”。
我们发现,达生、辛格处理不慎,瑕疵不少。
译文“情况(ⅰ.1)设商个数为偶数”一条,“方程(I.2n)和(I.2n+1)就分别变成yn=q2nxn+c,而yn+1=c”中,yn=q2nxn+c就是个瑕疵,应为yn=q2nxn-c,即降系数不定方程为8x2=1×y2-10,y3=10。
后面的“q2n=r2n-1”为q4=r3,我们代入q4=1,r3=8,得到1=8,又是个瑕疵。
后面的“情况(ⅰ.2)设商个数为奇数……q2n-1=r2n-2”,为同样的错误。
假如R1>R2,所解的不定方程是ax+c=by(I),这里,a,b互素。
这样,我们有[原注:当a<b时,有q=0,r1=a]
a=bq+r1,
b=r1q1+r2,
r1=r2q2+r3,
r2=r3q3+r4,
…
rm-2=rm-1qm-1+rm,
rm-1=rmqm+rm+1。
[注1:商q脚码从数字0起,如y=qx+y1。库文用q1,相差1,不影响计算。依次类推。]
现在在方程(I)中代入a的值,有by=(bq+r1)x+c。因此,y=qx+y1,其中by1=r1x+c。
换句话说,因为a=bq+r1,置入y=qx+y1,方程(I)降低成by1=r1x+c(I.1)。
[注2:相当于把(I)137x=60y+10演化成为降系数不定方程60y1=17x+10(I.1)。]
同样,因b=r1q1+r2,类似地置入x=q1y1+x1,方程(I.1)进一步降低成r1x1=r2y1-c,等等。(https://www.daowen.com)
[注3:相当于把(I.1)60y1=17x+10演化成为降系数不定方程17x1=9y1-10(I.2)。]
分列写出一系列的值和降系数不定方程,我们有
(1)y=qx+y1, by1=r1x+c; (I.1)
(2)x=q1y1+x1, r1x1=r2y1-c; (I.2)
(3)y1=q2x1+y2, r2y2=r3x1+c; (I.3)
(4)x1=q3y2+x2, r3x2=r4y2-c; (I.4)
…, …;
(2n-1)yn-1=q2n-2xn-1+yn, r2n-2yn=r2n-1xn-1+c; (I.2n-1)
(2n) xn-1=q2n-1yn+xn, r2n-1xn=r2nyn-c; (I.2n)
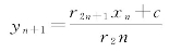
(2n+1)yn=q2nxn+yn+1, r2nyn+1=r2n+1xn+c。 (I.2n+1)
[注4:降系数不定方程(I.4),r3x2=r4y2-c,常数c前是减号。这是正确的。]
于是辗转相除法能继续演算,或(ⅰ)到结束,或(ⅱ)得到一系列商,再终止。这两种情况下,所发现商的个数,忽略第一个(q),如同阿耶波多说,可以是奇的,可以是偶的。
[注5:相当于回代过程中,只求出不定方程的x值,省略求y值。不影响计算。]
情况(ⅰ) 首先假定辗转相除法能继续演算,直到余数零。因为a,b互素,倒数一个余数是单位1。
情况(ⅰ.1) 设商个数为偶数,我们有r2n=1,r2n+1=0,q2n=r2n-1。
[注6:辗转相除过程中,只有除数与被除数更替交换,事实上,不可能出现商q2n=余数r2n-1。]
方程(I.2n)和(I.2n+1)就分别变成yn=q2nxn+c,而yn+1=c。[注7:即方程(I.4)和(I.5)就分别变成y2=q4x2-10,而y3=10。误把常数前的减号变成加号,见注4。]赋予xn适当的整数值(t),我们得到yn的整值。[注8:赋予x2适当的整数值t,不妨说t=0。就得到y3=q=10,得到y3的整值。]就此,我们能从(2n)找到xn-1的值。一步步往回推算,最后求出x,y正整数值。从而解出方程(I)。
情况(ⅰ.2)设商个数奇数,我们有r2n-1=1,r2n=0,q2n-1=r2n-2。方程(2n+1)和(I.2n+1)可省略,方程(I.2n-1)和(I.2n)就分别降系数,变成xn-1=q2n-1yn-c,而xn=-c。
[注9:事实上,辗转相除过程中,不可能出现商q2n-1=余数r2n-2。]
赋予yn适当的整数值(t′),我们得到xn-1的整值。如前一步步往回推算,我们求出x,y整数值。
情况(ⅱ) 下面假定辗转相除法在得到一个奇的或偶的商个数之后,终止。
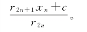
情况(ⅱ.1) 设商个数为偶数,原方程的降系数形式是r2nyn+1=r2n+1xn+c或
。如赋予xn以适当的整数值t,使得
是一个整数,据(2n+1)我们有yn的整值。如前,我们求出x,y的整数值。
情况(ⅱ.2)设商个数奇数,商[误。注10:原文就误作quotient]的降系数形式是r2n-1xn=q2nyn-c,或
。如赋予yn=t′,t′是整数,使得
是一个整数。据(2n)我们找到xn-1的整值。故求出x,y整数值。
注意,情况(ⅰ)中求到余数0,肯定采用降系数不定方程,作为取解式。
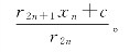
情况(ⅱ)中,辗转相除不达到余数1、余数0,只是说商个数有偶数、有奇数,无法确定取解式。只说成是降系数不定方程r2nyn+1=r2n+1xn+c,或者是整除式![]()
![]()
注意,情况(ⅰ)中求到余数0,肯定采用降系数不定方程,作为取解式。
情况(ⅱ)中,辗转相除不达到余数1、余数0,只是说商个数有偶数、有奇数,无法确定取解式。只说成是降系数不定方程r2nyn+1=r2n+1xn+c,或者是整除式![]()
。
我们更发现,依现代辗转相除为背景的降系数不定方程以余数0为背景,与原始辗转相除为背景的整除式混为一谈,就会犯错。恰巧,库文就提供了这样的典型。