14.13.4 借数转移
推库额钱题和积尺寻源题中,尝试了第二种调用数法:“至多处借之”。与上面的“损去部分衍母”类似,根据元数,先验同类,再转换成“几约如意”,转移借数。
总数术中说:
或定母得一,而衍数同衍母者,为无用数,当验元数同类者,而正用至多处借之。以元数两位求等,以等约衍母为借数,以借数损有以益其无,为正用。
或数处无者,如意立数为母,约衍母,所得以如意子乘之,均借补之。
或欲从省勿借,任之为空,可也。
“如意立数”之举是秦九韶的盲目扩大化,“从省勿借”则是事实的描述。
关于借数的内容,涉及推库额钱题。算草中有这样一段描述无衍数:
次验诸衍数,有同衍母者,皆去之,为无衍数。
以两行对乘之,为用数,甲无,……,庚无。
甲、庚衍数27720,与衍母27720相同,称无衍数,记为0。奇数与衍数相乘,称无用数,也记为0。
算草后面一段描述借数的移动:
次以推无用数者,惟甲庚合于同类处借之,其同类谓元陌列而视之。
今视甲12,庚6,皆与丙10,戊8,俱偶,为同类。其戊用数3465,其数少,不可借,唯丙10之用数,系22176,为最多,当以借之,乃以甲12,丙10,庚6,求等得2,以等数2,约衍母27720,得13860,为借数,乃减丙用22176,余8316,为丙用数,乃以所借出之数13860为实,以元等2为法,除之,得6930,为甲用数,以甲用数减借出数,余亦得6930,为庚用数,今不欲使甲庚之借数同,乃验借出数13860,可用几约如意,乃立3,取三分之一,得4620,为甲用,取三分之二,得9240,为庚用,列右行。
我们摘录出相关表格(表14.26),括号标注相关数值的性质:
表14.26 推库额钱题调用数
(https://www.daowen.com)
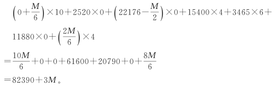
验甲12、庚6、丙10、戊8为偶数,同类,戊用数3465最小,丙用数22176最多。求总数:

调用数前、后,用衍母27720(M)除,都能得到26950,全仗余数的巧合。
还有一个是积尺寻源题。算草中有这样一段,用括号标记其与衍母的关系:
凡诸用数同类者,数必多,可互借以补无者。先验革元数25与木元数20为同类,求等得5,以等5约衍母85800(M),得17160(M/5),乃于革用数(61776)内减出,以补木位,为木用,余44616,为革用。次验竹元数100与土50为同类,以求等得50,以等50约衍母85800(M),得1716(M/50),亦于革用内各借与竹土为用数,革止余41184为用,得诸定用数。
我们摘录出相关表格(表14.27),括号标注相关数值的性质:
表14.27 积尺寻源题调用数

先用具体数据计算一下。不调用数之前,得1230。

4291230满去85800,不满,广为1230。
调用数方法是革25与木20元数同类,等数5约衍母,得17160(M/5)。从革用数61776移动至木用数,得44616和17160。竹100与土50元数同类,以等50约衍母,得1716(M/50)。再从革用数44616中扣除,得41184。
用数乘余数,求总数时,我们不考虑金、丝、石、匏四项,只看移动相关的革、竹、土、木四项。61776扣除17160(M/5)得44616,再扣除两个1716(M/50)得41184。

这样,在如术文“满衍母去之,不满,得广深”操作中,移动相关的革、竹、土、木四项,在调用数之前,与调用数之后,所得广深数据是一样的。