11.2.4 两种取解式、初解

11.2.4 两种取解式、初解

一系列降系数不定方程中,任何一步,只要能取得整数解,就可称为取解式。

取解式的整数解,不是原不定方程的解,只是初解,即初步的解。经过回代,最后才得到原不定方程的通解或特解。

上一节中提到,余数为0的除法2=2×1+0,相关于降系数不定方程y1=2x1+3,这里没有新变量,只能取x1=1,则y1=5。

因而,还存在另一种取解式——整除式。背景是原始辗转相除法。(https://www.daowen.com)

我们看表11.1中,原不定方程5y=7x+3的常数3,参与7和5的辗转相除。

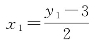
余数为1的除法5=2×2+1,相关于新变量图示。如果要求y1-3是2的倍数,或者要求新变量图示为整数,这个整除式,也是取解式。取y1=5,则x1=1,满足的是整除式。

这就是说,辗转相除得到余数1,就可以导出整除式了,用不到求出余数0。